Kappelbrigh

Task 3

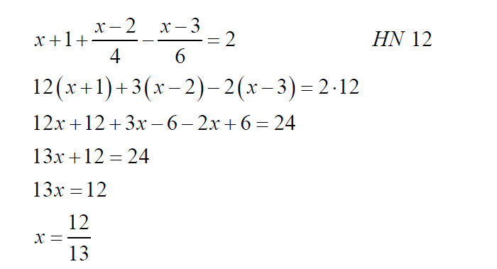
Solve the equation to x:
Task two
Solution
Task two